開關電源磁性元件一般指變壓器和電感。變壓器在開關電源中運用非常廣泛,變壓器的作用大致是供給初級和次級的電氣隔絕,使輸出電壓或升或降,傳送能量。電感在開關電源中起著儲能和濾波作用。在典型的降壓轉化中,電感的一端是連接到DC輸出電壓,另一端通過開關頻率切換連接到輸入電壓或者GND,在開關判別期間對負載供給持續的能量。
一般情況下,磁性元件的損耗占開關電源總損耗的15%左右,了解磁性元件的損耗的組成對行進電源功率具有重要意義。
與變壓器和電感有關的損耗主要有三種:磁滯損耗、渦流損耗和電阻損耗。在規劃和構造變壓器和電感時可以操控這些損耗。
磁滯損耗
磁滯損耗與繞組的匝數和驅動辦法有關。它挑選了每個作業周期在B-H曲線內掃過的面積。掃過的面積便是磁場力所作的功,磁場力使磁心內的磁疇重新排列,掃過的面積越大,磁滯損耗就越大。該損耗由式(6)給出。
如公式中所見,損耗是與作業頻率和最大作業磁通密度的二次方成正比。雖然這個損耗不如功率開關和整流器內部的損耗大,但是處理不妥也會成為一個問題。在100kHz時,Bmax應設定為材料豐滿磁通密度Bsat 的50%。在500kHz時,Bmax應設定為材料豐滿磁通密度Bsat的25%。在1MHz時,Bmax應設定為材料豐滿磁通密度Bsat的10%。這是根據鐵磁材料在開關電源(3C8等)中所表現出來的特性挑選的。
渦流損耗
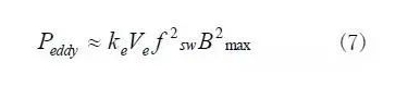
當變壓器作業時。磁芯中有磁力線穿過,在與磁力線筆直的平面上就會發生感應電流,由于電流自成閉合回路構成環流,且成旋渦狀,故稱為渦流。渦流的存在使磁芯發熱,耗費能量,這種損耗稱為渦流損耗。
渦流損耗比磁滯損耗小得多,但隨著作業頻率的進步而敏捷增加,如式(7)所示。
渦流是在強磁場中磁心內部大范圍內感應的環流。一般設計者沒有太多方法來削減這個損耗。

電阻損耗
電阻損耗是變壓器或電感內部繞組的電阻發生的損耗。有兩種方法的電阻損耗:直流電阻損耗和集膚效應電阻損耗。直流電阻損耗由繞組導線的電阻與流過的電流有用值二次方的乘積所挑選。集膚效應是由于在導線內強溝通電磁場作用下,導線中心的電流被“面向”導線外表而使導線的電阻實踐增加所致,電流在更小的截面中活動使導線的有用直徑顯得小了。式(8)給出了這兩個損耗在一個表達式中的計算式。
感(用串聯于繞組的小電感表示)使一部分磁通不與磁心交鏈而漏到周圍的空氣和材猜中。它的特性并不受與之相關的變壓器或電感的影響,因此繞組的反射阻抗并不影響漏感的功能。
漏感會帶來一個問題,由于它沒有將功率傳遞到負載,而是在周圍的元件中發生振蕩能量。在變壓器和電感的結構設計中,要操控繞組的漏感巨細。每一個的漏感值都會不同,但能操控到某個額定值。
一些削減繞組漏感的通用經歷法則是:加長繞組的長度、離磁心距離更近、繞組之間的緊耦合技能,以及附近的匝比(如挨近1:1)。對一般用于DC-DC變換器的E-E型磁心,估量的漏感值是繞組電感的3%~5%。在離線式變換器中,一次繞組的漏感或許高達繞組電感的12%,假如變壓器要滿足嚴厲的安全規程的話。用來絕緣繞組的膠帶會使繞組更短,并使繞組遠離磁心和其他繞組。后面可以看到,漏感引起的附加損耗可以被運用。在直流磁鐵的運用場合,沿磁心的磁路一般需求有一個氣隙。在鐵氧體磁心中,氣隙是在磁心的中部,磁通從磁心的一端流向另一端,雖然磁力線會從磁心的中心向外散開。氣隙的存在發生了一塊密布的磁通區域,這會引起挨近線圈或挨近氣隙的金屬部件內的渦流流動。這個損耗一般不是很大,但很難確認。
直流損耗首要是由于電流流過變壓器繞組的實阻抗而引起的損耗,正比于電流有用值巨細的平方。P=I2xR而溝通損耗則相對凌亂,包含繞組趨膚效應,挨近效應引起的損耗。
集膚效應
集膚效應又名趨膚效應,是指導體通過溝通電流時,在導體截面中,存在邊緣部分電流密度大,中心部分電流密小的現象。電流流過導體時,會發生磁場。關于交變的電流,則會發生交變的磁場。根據法拉第電磁感應,導體自身會發生渦流,引起損耗。
附近效應
當兩個相鄰導體流過方向相反的電流時,相互之間會發生磁動勢,則磁動勢在對方導體中會發生渦流,引起損耗。